放大器的测试指标可以分为两类:线性指标测试和非线性指标测试。线性指标的测试基于S参数的测量,采用常规矢量网络分析仪完成。对于非线性指标的测试,传统测试方案采用频谱仪加信号源方法,但这种方案有很多缺点:1)无法实现同步扫频、扫功率测试。2)不能进行相位测量,如幅度相位转化(AM/PM)测量。

R&S ZVB采用创新的硬件结构,其输出功率很高、功率扫描范围宽,因而无需另外单独使用前置放大器,一次扫描即可确定放大器功率压缩特性。ZVB采用了强大的自动电平控制设计以及高选择性、高灵敏性的接收机,因而可在较宽的动态范围下进行放大器的谐波测试而无需使用外部滤波器。
此外R&S ZVB提供了丰富的测试功能和友好的操作界面,使得放大器的各种指标测试变得简单又直观。
端口匹配特性测量
端口匹配特性主要测试端口的S11与S22参数。如端口1的S11参数等于反射信号b1与入射信号a1之比:

S11参数也可称为输入反射因子。S11为复数,工程上通常用回波损耗(RL)和驻波比(VSWR)来表达端口的匹配程度。S11与这两个参数的关系如下:
回波损耗 RL = - 20log(r),其中r = |S11|
驻波比 
以上两个参数与S11的换算由ZVB自动完成,用户只需要在[Format] 菜单中选择[dB Mag]->回波损耗,[SWR]->驻波比,就可以显示相应的测试曲线。
ZVB提供轨迹统计功能[Trace Statistics],可自动显示轨迹的最大值、最小值和峰-峰值,并且可以通过设置 [Eval Range],来调整统计频率范围。该功能对带限器件(如滤波器)的带内指标测试非常有用。
在电路设计的过程中,精确输入阻抗信息对于设计人员更为重要。比如:在手机板设计中,设计人员要精确测试前端放大器的输入、输出阻抗,然后根据输入、输出阻抗信息设计对应的匹配网络,达到手机的最大功率发射和最佳的整机灵敏度。输入阻抗与S11的关系如下:
, 其中Z0=50Ω
用户通过选择[Format] 键中的[Smith]菜单显示阻抗测试轨迹,通过设置Marker可以方便的测得每一频点对应的输入电抗和电阻。另外ZVB标配的虚拟加嵌功能,能模拟在输入、输出端口加上虚拟的匹配网络之后整个网络的性能。该功能大大简化了设计人员的工作量,无需实际的电路调整,就能预测调整后的DUT性能。用户通过选择[Mode]菜单中的[Virtual Transform]来激活该功能。

传输参数测量
除了端口匹配特性的测量,放大器前向放大和反向隔离特性也可分别由测试S21和S12得到。前向的传输参数S21等于在端口2测得前向功率b2与端口1的激励功率a1的比值:

而放大器的增益等于S21绝对幅度的对数值:
增益 Gain = 
反向的传输参数S12等于在端口1测得反向功率b1与端口2的激励功率a2的比值:

而放大器的反向隔离度等于S12绝对幅度的对数值:
隔离度 Isolation = -20log( |S12| )
用户只需分别设置S21和S12的 显示格式为dB([format] -> [dB Mag]),放大器增益和隔离度即可同时显示在ZVB上。
功率压缩特性测量
功率压缩特性的测试主要用来衡量待测件(DUT)的线性度。对于放大器的测试,工程上通常采用输出功率1 dB压缩点(P1dB )来表征该特性。P1dB的定义为:随着输入功率的增加,放大器的增益下降到比线性增益低1dB时的输出功率值,如图1所示。
ZVB不仅可以测量参数随频率变化的曲线还可以测量参数随输入功率变化的曲线。ZVB内置信号源可以提供非常大的功率扫描范围,其典型值为60dB,而且60dB的功率扫描范围完全由电子衰减器来实现而非采用传统的机械步进衰减器。机械式衰减器的幅度可重复度较差且使用寿命较短,所以ZVB特别适合测试有源器件的功率压缩特性。

ZVB提供多通道(Channel)的测试功能,不同的通道可以设置不同的扫描方式,所以可以在一个通道内设置频率扫描用于测试S参数,而在另一通道内设置成功率扫描用于测量功率压缩特性,这样调试人员就可以在调试放大器S参数的同时,观察放大器P1dB的变化。用户可通过[Chan select]键,选择[Add Channel + Trace +Diag Area] 菜单来增加一个测试通道,然后选择[Sweep]键中的[Sweep type]菜单,选择[Power]就可以进行功率扫描测试。另外ZVB 在轨迹统计功能[Trace Statistics]中提供了自动寻找增益压缩点的功能[Compression Point],方便用户快速读值。
P1dB的测量涉及到S21随着绝对输入功率变化的曲线,而矢量网络分析仪通常用于S参数相对量的测量。为了提高其绝对测量精度,推荐使用的功率计对矢量网络做功率校准。R&S公司的NRP系列功率计可以通过USB接口直接和ZVB连接,从而省掉功率计主机和昂贵的GPIB卡。ZVB功率校准过程分成两个过程:矢量网络的内部源幅度校准和接收机幅度校准。在第一个过程中将功率探头直接和矢量网络的源端口连接,对应选择 [CAL]键下的菜单[Start Power Cal]-> [Souce Power Cal]。 第二步将已校准的源端口和接收端口连接进行接收机的校准,对应选择 [CAL]键下的菜单[Start Power Cal]-> [Receiver Power Cal]。
谐波测量
随着激励功率的增加,放大器将进入非线性工作区,不仅会出现输出功率压缩现象,还会出现非线性频率分量。这些新的频率输出分量多为输入频率的整数倍,称为谐波分量。设计人员往往比较关心的是输入基波分量与谐波分量的幅度差值,因为幅度差越大,意味着在同样的直流输入功率情况下,更多的功率转换为所需的基 波功率,而非谐波功率,也可视为提高了放大器的效率。
传统的放大器的谐波测量是通过信号源加频谱仪的方式实现,即用信号源作为激励信号源,频谱仪观测基波和谐波的信号幅度。放大器的谐波测试往往需要测量不同输入基波功率对应的谐波输出功率,或者测试不同的频率点上同一输入基波功率对应的谐波输出功率。传统的方法须手动记录或者编写自动测试程序进行测试。
相对于这些繁琐的方法,ZVB提供了更为灵活的解决方法。ZVB打破了传统矢量网络信号源和接收机必须工作在同一频率上的限制,可以使矢量网络信号源和接收机工作在不同的频率点上。具体对于谐波测量而言,可以让矢量网络源输出基波信号,而接收机工作在谐波频率上,并可方便实现对基波输入频率或输入功率的扫描测试(图2)。对应ZVB的设置:可先通过[Chan Select]+[Add channel +trace+Diag Area]的方法来添加一个新的观测窗口和新的测试通道。然后在[Mode]键下选择[Harmonics]进入谐波测试模式,而后通过选择 2nd、3rd或者输入其它谐波次数来测量对应的谐波。

对于测试绝对谐波功率对输入基波功率的变化,同样推荐在测试前应该进行功率校准。ZVB也提供谐波功率校准的方法。通过[Harmonic Power Cal] 进入功率校准对话框,其基本操作过程与测试放大器功率压缩特性时相同,只不过在进行源功率校准时的频率为整个测试频率,而在接收机校准时的频率为谐波频率而已。
幅度相位转化测量
放大器的非线性特性除了功率压缩和产生谐波频率两个方面外,还有相位非线性特征,即随着输入功率的改变,放大器插入相移的变化。工程上通常采用AM/PM转化来描述,其具体的定义为: 输入功率每变化1dB,插入相移的改变量,单位为Degrees/dB(图3)。
同功率压缩特性的测量一样,应设置ZVB扫描类型 [Sweep Type] 为功率扫描 [Power]。测试轨迹为S21,但显示格式[Format]应设置为相位方式[Phase]。在测试过程中,可使用ZVB 提供Delta Marker与Reference功能方便地读值。
稳定性因子测量
理想状况下放大器的输入、输出端接阻抗应该为50Ω,但是在实际的电路环境下往往并非如此。而有些放大器在某些端接阻抗可能出现自激振荡,从而产生许多无用杂散输出信号。放大器的稳定性是指放大器对产生自激振荡的抑制能力。工程上一般把放大器的稳定性状况分为两种情况:绝对稳定和条件稳定。绝对稳定是指在任何端接阻抗条件下都不出现振荡,而条件稳定是指如果端接阻抗选择的合适将不出现振荡现象,但在某些端接阻抗上将出现自激振荡。

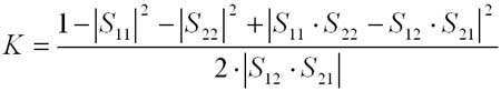
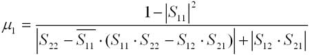
稳定性因子有多种定义的方法,ZVB支持三种稳定因子测量。稳定性因子的测量基于S参数的测量,其S参数的关系如下:



对于绝对稳定放大器必须满足:K>1和两个附加条件: 1-|S11|2>|S12.S21|与1-|S22|2>|S12.S21|。而采用m1和m2来描述就不需要附加条件,满足m1>1或m2>1即可断定放大器为绝对稳定。
通过简单的设置,ZVB就可进行放大器稳定性测试(图4),对应选择[Format]键下的[Stability]菜单,在弹出的对话框里选择输入、输出端口和测试稳定性因子的类型即可。
结束语
综合所述,R&S ZVB 提供的众多测试功能使其不仅适合放大器S参数测量也适合放大器幅度、相位非线性特性测量和稳定度的测量,满足放大器从设计到生产诸多测试需求。

粤公网安备 44030902003195号